Anonymous 01/02/2024 (Tue) 19:21 No.111911 del
(16.98 KB 634x248 15728.png)
>>111852
>Пишут что с L-пролином селективность на БА 20%. Это значит что остальная часть остаётся в 3-OH-3-Ph-пропаноле?
Вот этот момент я чет тоже нихуя не понял.
Хуй поймешь этих ученых в говне моченых. Я вроде даже не первый раз научные работы читаю, но тут походу нужно чтобы шарящий химик разъяснил.
В любом случае я буду пробовать эту реакцию провести. Повторюсь, ибо л-пролин это тупо добавка которая везде есть, а коричный альдегид тоже достать не проблема.

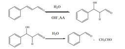
Там еще такая картинка есть. Типа этот 3-OH-3-Ph-пропанол сам разложиться должен до конечного продукта, наверное...


>>111900
>декстро- / левоамфетамин
А в чем профит перед обычным амфом?
Амф это один из самых простых синтезов. А вот разделение изомеров это та еще ёбля.
На, можешь почитать то что я сам нагуглил 5 минут назад. https://www.designer-drug.com/pte/12.162.180.114/dcd/chemistry/amphetamine.resolution.html